News

July 23, 2021

We are incredibly thankful for the Sonoma County Mushroom Association (SOMA) for continued support of our CA graduate students studying mycology.

July 23, 2021

Long-time fan but first-time published in the official journal of the International Symbiosis Society, Symbiosis!

June 16, 2021

Congratulations to Helen Chang and Gillyan Valencia on graduation!

May 24, 2021

Congratulations Austen Apigo (PhD candidate) for multiple fellowships for the upcoming school year!

September 22, 2020

If you're a mediocre partner in a mututalism, you can avoid sanctions in fertilized soil (i.e., an environment where your service is not in high demand) - plant host will allocate less resources to you but not any less than other nodules.

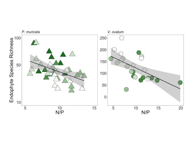
August 31, 2020

From the time of my postdoc, I've been collecting conifer leaves to study the fungal endophytes therein.

August 31, 2020

Drought + pathogen --> increased mortality, lower survival

June 20, 2020

Congratulations to our seniors! Their bond made the lab a special place for many others.

May 20, 2020

I love it when fellow students are inspired artistically by science.

May 11, 2020

Stressful conditions that limit growth of fungi may increase their diversity due to the suppression of otherwise dominating species.